题目内容
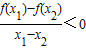
已知f(x)是定义在[-2,2]上的函数,且对任意实数x1,x2(x1≠x2),恒有
【答案】分析:由题意,得f(x)是定义在[-2,2]上的减函数,可得f(
)<1即f(
)<f(-2),结合函数的单调性转化为-2<
≤2,解之即可得到所求的解集.
解答:解:∵对任意实数x1,x2(x1≠x2),恒有
,
∴f(x)是定义在[-2,2]上的减函数,得函数的最大值为f(-2)=1
∴f(
)<1即f(
)<f(-2)
结合函数的单调性,得
>-2,即
>
,解之得x
又∵f(x)定义在[-2,2]上,
∴
∈[-2,2],解之得
≤x≤4
取交集,得
<x≤4,原不等式的解集为
故答案为:
点评:本题给出抽象函数,在已知单调性的情况下求解不等式,着重考查了对数的运算法则和函数的单调性等知识,属于中档题.
解答:解:∵对任意实数x1,x2(x1≠x2),恒有
∴f(x)是定义在[-2,2]上的减函数,得函数的最大值为f(-2)=1
∴f(
结合函数的单调性,得
又∵f(x)定义在[-2,2]上,
∴
取交集,得
故答案为:
点评:本题给出抽象函数,在已知单调性的情况下求解不等式,着重考查了对数的运算法则和函数的单调性等知识,属于中档题.
练习册系列答案
相关题目