题目内容
(1)求椭圆C的方程;
(2)求
(3)设点P是椭圆C上异于M,N的任意一点,且直线MP,NP分别与x轴交于点R,S,O为坐标原点,求证:|OR|•|OS|为定值.
【答案】分析:(1)依题意,得a=2,
,由此能求出椭圆C的方程.
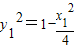
(2)法一:点M与点N关于x轴对称,设M(x1,y1),N(x1,-y1),设y1>0.由于点M在椭圆C上,故
.由T(-2,0),知
=
,由此能求出圆T的方程.
法二:点M与点N关于x轴对称,故设M(2cosθ,sinθ),N(2cosθ,-sinθ),设sinθ>0,由T(-2,0),得
=
,由此能求出圆T的方程.
(3)法一:设P(x,y),则直线MP的方程为:
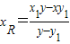
,令y=0,得
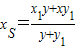
,同理:
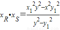
,…(10分)故
,由此能够证明|OR|•|OS|=|xR|•|xS|=|xR•xS|=4为定值.
法二:设M(2cosθ,sinθ),N(2cosθ,-sinθ),设sinθ>0,P(2cosα,sinα),其中sinα≠±sinθ.则直线MP的方程为:
,由此能够证明|OR|•|OS|=|xR|•|xS|=|xR•xS|=4为定值.
解答:解:(1)依题意,得a=2,
,
∴c=
,b=
=1,
故椭圆C的方程为
.…(3分)
(2)方法一:点M与点N关于x轴对称,
设M(x1,y1),N(x1,-y1),不妨设y1>0.
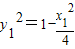
由于点M在椭圆C上,所以
. (*) …(4分)
由已知T(-2,0),则
,
,
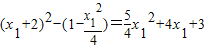
∴
=(x1+2)2-
=
=
.…(6分)
由于-2<x1<2,
故当
时,
取得最小值为
.
由(*)式,
,故
,
又点M在圆T上,代入圆的方程得到
.
故圆T的方程为:
.…(8分)
方法二:点M与点N关于x轴对称,
故设M(2cosθ,sinθ),N(2cosθ,-sinθ),
不妨设sinθ>0,由已知T(-2,0),
则
=(2cosθ+2)2-sin2θ
=5cos2θ+8cosθ+3
=
.…(6分)
故当
时,
取得最小值为
,
此时
,
又点M在圆T上,代入圆的方程得到
.
故圆T的方程为:
. …(8分)
(3)方法一:设P(x,y),
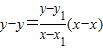
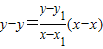
则直线MP的方程为:
,
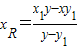
令y=0,得
,
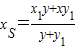
同理:
,…(10分)
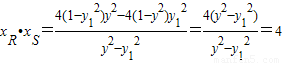
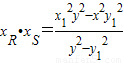
故
(**) …(11分)
又点M与点P在椭圆上,
故
,
,…(12分)
代入(**)式,
得:
.
所以|OR|•|OS|=|xR|•|xS|=|xR•xS|=4为定值. …(14分)
方法二:设M(2cosθ,sinθ),N(2cosθ,-sinθ),
不妨设sinθ>0,P(2cosα,sinα),其中sinα≠±sinθ.
则直线MP的方程为:
,
令y=0,得
,
同理:
,…(12分)
故
.
所以|OR|•|OS|=|xR|•|xS|=|xR•xS|=4为定值.…(14分)
点评:本题考查椭圆的方程和几何性质、圆的方程等基础知识,考查运算求解能力、推理论证能力,考查函数与方程思想、数形结合思想.
(2)法一:点M与点N关于x轴对称,设M(x1,y1),N(x1,-y1),设y1>0.由于点M在椭圆C上,故
法二:点M与点N关于x轴对称,故设M(2cosθ,sinθ),N(2cosθ,-sinθ),设sinθ>0,由T(-2,0),得
(3)法一:设P(x,y),则直线MP的方程为:
法二:设M(2cosθ,sinθ),N(2cosθ,-sinθ),设sinθ>0,P(2cosα,sinα),其中sinα≠±sinθ.则直线MP的方程为:
解答:解:(1)依题意,得a=2,
∴c=
故椭圆C的方程为
(2)方法一:点M与点N关于x轴对称,
设M(x1,y1),N(x1,-y1),不妨设y1>0.
由于点M在椭圆C上,所以
由已知T(-2,0),则
∴
=(x1+2)2-
=
=
由于-2<x1<2,
故当
由(*)式,
又点M在圆T上,代入圆的方程得到
故圆T的方程为:
方法二:点M与点N关于x轴对称,
故设M(2cosθ,sinθ),N(2cosθ,-sinθ),
不妨设sinθ>0,由已知T(-2,0),
则
=(2cosθ+2)2-sin2θ
=5cos2θ+8cosθ+3
=
故当
此时
又点M在圆T上,代入圆的方程得到
故圆T的方程为:
(3)方法一:设P(x,y),
则直线MP的方程为:
令y=0,得
同理:
故
又点M与点P在椭圆上,
故
代入(**)式,
得:
所以|OR|•|OS|=|xR|•|xS|=|xR•xS|=4为定值. …(14分)
方法二:设M(2cosθ,sinθ),N(2cosθ,-sinθ),
不妨设sinθ>0,P(2cosα,sinα),其中sinα≠±sinθ.
则直线MP的方程为:
令y=0,得
同理:
故
所以|OR|•|OS|=|xR|•|xS|=|xR•xS|=4为定值.…(14分)
点评:本题考查椭圆的方程和几何性质、圆的方程等基础知识,考查运算求解能力、推理论证能力,考查函数与方程思想、数形结合思想.
练习册系列答案
相关题目