题目内容
已知不等式x2-2x+3<0的解集为A,不等式x2+x-6<0的解集为B.(1)求A∩B;
(2)若不等式x2+ax+b<0的解集为A∩B,求不等式ax2+x+b<0的解集.
【答案】分析:(1)由一元二次不等式的解法分别求出集合A,B,再利用集合的交集即可求出;
(2)由一元二次方程的实数根与不等式的解集的关系及判别式与解集的关系即可求出.
解答:解:(1)由不等式x2-2x-3<0,解得-1<x<3,∴A=(-1,3);
由不等式x2+x-6<0,解得-3<x<2,∴B=(-3,2).
∴A∩B=(-1,2).
(2)由不等式x2+ax+b<0的解集为A∩B=(-1,2),
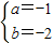
∴
解得
∴不等式-x2+x-2<0可化为x2-x+2>0,
∵△=1-4×2=-7<0,
∴x2-x+2>0的解集为R.
点评:熟练掌握一元二次不等式的解法是解题的关键.
(2)由一元二次方程的实数根与不等式的解集的关系及判别式与解集的关系即可求出.
解答:解:(1)由不等式x2-2x-3<0,解得-1<x<3,∴A=(-1,3);
由不等式x2+x-6<0,解得-3<x<2,∴B=(-3,2).
∴A∩B=(-1,2).
(2)由不等式x2+ax+b<0的解集为A∩B=(-1,2),
∴
∴不等式-x2+x-2<0可化为x2-x+2>0,
∵△=1-4×2=-7<0,
∴x2-x+2>0的解集为R.
点评:熟练掌握一元二次不等式的解法是解题的关键.
练习册系列答案
相关题目