题目内容
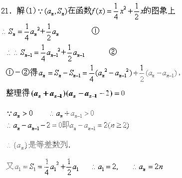
(本小题满分12分)设正项数列{
}的前
项和
,对于任意
点
都在函数
的图象上.
(1)求数列{
}的通项公式;
(2)设
的前n项和为
,求
.
答案
(II)![]()
![]()
![]()
练习册系列答案
相关题目
题目内容
(本小题满分12分)设正项数列{
}的前
项和
,对于任意
点
都在函数
的图象上.
(1)求数列{
}的通项公式;
(2)设
的前n项和为
,求
.
答案
(II)![]()
![]()
![]()