题目内容
(本题满分12分)
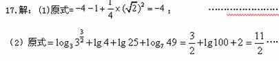
计算:(1);
(2).
答案
(本题满分12分)已知数列是首项为,公比的等比数列,,
设,数列.
(1)求数列的通项公式;(2)求数列的前n项和Sn.
(本题满分12分,第1小题6分,第2小题6分)
已知集合A={x| | x–a | < 2,xÎR },B={x|<1,xÎR }.
(1) 求A、B;
(2) 若,求实数a的取值范围.
(本题满分12分)
设函数(,为常数),且方程有两个实根为.
(1)求的解析式;
(2)证明:曲线的图像是一个中心对称图形,并求其对称中心.
(本题满分12分,(Ⅰ)小问4分,(Ⅱ)小问6分,(Ⅲ)小问2分.)
如图所示,直二面角中,四边形是边长为的正方形,,为上的点,且⊥平面
(Ⅰ)求证:⊥平面
(Ⅱ)求二面角的大小;
(Ⅲ)求点到平面的距离.