题目内容
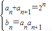
(文)已知数列{an}的相邻两项an,an+1是关于x的方程x2-2nx+bn=0(n∈N*)的两根,且a1=1.(1)求数列和{bn}的通项公式;
(2)设Sn是数列{an}的前n项和,问是否存在常数λ,使得bn-λSn>0对任意n∈N*都成立,若存在,求出λ的取值范围; 若不存在,请说明理由.
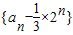
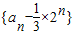
【答案】分析:(1)由题意,可利用根与系数的关系得出an+an+1=2n,法一:观察发现
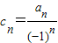
,由此方程可以得出数列
是首项为
,公比为-1的等比数列,由此数列的性质求出它的通项,再求出an,
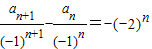
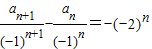
法二:an+an+1=2n,两边同除以(-1)n+1,得
,令
,则cn+1-cn=-(-2)n.得到新数列的递推公式,再由累加法求出cn,即可求出an,
(2)由(1)的结论,先求出数列{an}的前n项和,代入bn-λSn>0,此不等式对任意n∈N*都成立,可用分离常数法的技巧,将不等式变为
对任意正偶数n都成立,求出
的最小值即可得到参数的取值范围,若此范围是空集则说明不存在,否则,存在
解答:解:(1)∵an,an+1是关于x的方程x2-2nx+bn=0(n∈N*)的两根,
∴
求数列{an}的通项公式,给出如下二种解法:
解法1:由an+an+1=2n,得
,
故数列
是首项为
,公比为-1的等比数列.
∴
,即
.
解法2:由an+an+1=2n,两边同除以(-1)n+1,得
,
令
,则cn+1-cn=-(-2)n.
故cn=c1+(c2-c1)+(c3-c2)+…+(cn-cn-1)=-1-(-2)-(-2)2-(-2)3-…-(-2)n-1=
=
(n≥2).
且
也适合上式,∴
=
,即
.
∴bn=anan+1=
×
=
(2)Sn=a1+a2+a3+…+an=
=
.
要使bn-λSn>0对任意n∈N*都成立,
即
(*)对任意n∈N*都成立.
1当n2为正奇数时,由(*)式得
3
4,
即
,
∵2n+1-1>0,∴
对任意正奇数n都成立.
当且仅当n=1时,
有最小值1.
∴λ<1.
②当n为正偶数时,由(*)式得
,
即
,
∵2n-1>0,∴
对任意正偶数n都成立.
当且仅当n=2时,
有最小值
.
∴λ<
.
综上所述,存在常数λ,使得bn-λSn>0对任意n∈N*都成立,λ的取值范围是(-∞,1).
点评:本是考查数列与不等式的综合,此类题一般难度较大,解题的关键是熟练掌握不等式证明的技巧与数列通项求和的技巧,本题中用构造法求数列的通项,是递推关系知道的情况下求数列通项的常用方法,对于不等式恒成立求参数的问题,本题采用了分离常数法的思想将参数独立出来,通过求关于n的代数式的最小值求出参数的取值范围,本题考查了转化化归的思想,方程的思想,构造法的技巧,综合性强,技巧性强,题后应注意总结本题解法上的规律
法二:an+an+1=2n,两边同除以(-1)n+1,得
(2)由(1)的结论,先求出数列{an}的前n项和,代入bn-λSn>0,此不等式对任意n∈N*都成立,可用分离常数法的技巧,将不等式变为
解答:解:(1)∵an,an+1是关于x的方程x2-2nx+bn=0(n∈N*)的两根,
∴
求数列{an}的通项公式,给出如下二种解法:
解法1:由an+an+1=2n,得
故数列
∴
解法2:由an+an+1=2n,两边同除以(-1)n+1,得
令
故cn=c1+(c2-c1)+(c3-c2)+…+(cn-cn-1)=-1-(-2)-(-2)2-(-2)3-…-(-2)n-1=
且
∴bn=anan+1=
(2)Sn=a1+a2+a3+…+an=
要使bn-λSn>0对任意n∈N*都成立,
即
1当n2为正奇数时,由(*)式得
即
∵2n+1-1>0,∴
当且仅当n=1时,
∴λ<1.
②当n为正偶数时,由(*)式得
即
∵2n-1>0,∴
当且仅当n=2时,
∴λ<
综上所述,存在常数λ,使得bn-λSn>0对任意n∈N*都成立,λ的取值范围是(-∞,1).
点评:本是考查数列与不等式的综合,此类题一般难度较大,解题的关键是熟练掌握不等式证明的技巧与数列通项求和的技巧,本题中用构造法求数列的通项,是递推关系知道的情况下求数列通项的常用方法,对于不等式恒成立求参数的问题,本题采用了分离常数法的思想将参数独立出来,通过求关于n的代数式的最小值求出参数的取值范围,本题考查了转化化归的思想,方程的思想,构造法的技巧,综合性强,技巧性强,题后应注意总结本题解法上的规律
练习册系列答案
相关题目