题目内容
已知函数f(x)=(a+(l)试讨论f(x)在区间(0,1)上的单调性;
(2)当a∈[3,+∞)时,曲线y=f(x)上总存在相异两点P(x1,f(x1)),Q(x2,f (x2 )),使得曲线y=f(x)在点P,Q处的切线互相平行,求证:x1+x2>
【答案】分析:(1)求出f′(x),当x∈(0,1)时,解不等式f′(x)>0,f′(x)<0即可.
(2)由题意可得,当a∈[3,+∞)时,f′(x1)=f′(x2)(x1,x2>0,且x1≠x2),由此可得a+
=
>
,从而
,只要求出
在[3,+∞)的最大值即可.
解答:解:(1)由已知,得x>0,
=-
.
由f′(x)=0,得
.因为a>1,所以0
,且a
.
所以在区间(0,
)上,f′(x)<0;在区间(
,1)上,f′(x)>0.
故f(x)在(0,
)上单调递减,在(
,1)上单调递增.
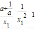
证明:(2)由题意可得,当a∈[3,+∞)时,f′(x1)=f′(x2)(x1,x2>0,且x1≠x2).
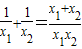
即
=
,所以a+
=
,a∈[3,+∞).
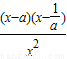
因为x1,x2>0,且x1≠x2,所以
恒成立,
所以
,又x1+x2>0,所以
,整理得
,
令g(a)=
,因为a∈[3,+∞),所以a+
单调递增,g(a)单调递减,
所以g(a)在[3,+∞)上的最大值为g(3)=
,
所以
.
点评:本题考查了利用导数研究函数的单调性问题、求最值问题,运用所学知识解决问题的能力.
(2)由题意可得,当a∈[3,+∞)时,f′(x1)=f′(x2)(x1,x2>0,且x1≠x2),由此可得a+
解答:解:(1)由已知,得x>0,
由f′(x)=0,得
所以在区间(0,
故f(x)在(0,
证明:(2)由题意可得,当a∈[3,+∞)时,f′(x1)=f′(x2)(x1,x2>0,且x1≠x2).
即
因为x1,x2>0,且x1≠x2,所以
所以
令g(a)=
所以g(a)在[3,+∞)上的最大值为g(3)=
所以
点评:本题考查了利用导数研究函数的单调性问题、求最值问题,运用所学知识解决问题的能力.
练习册系列答案
相关题目
已知函数f(x)=x2-bx的图象在点A(1,f(1))处的切线l与直线3x-y+2=0平行,若数列{
}的前n项和为Sn,则S2010的值为( )
| 1 |
| f(n) |
A、
| ||
B、
| ||
C、
| ||
D、
|