题目内容
已知二次函数f(x)=ax2+bx的图象过点(-4n,0),f′(x)是f(x)的导函数,且f′(0)=2n,(n∈N*).(1)求a的值;
(2)若数列{an}满足
(3)对于(II)中的数列{an},求证:a1+a2+a3+…+ak<5(k=1,2,3…).
【答案】分析:(1)先求导,由
,求出a.
(2)由题目中信息,得到数列{an}的递推关系式.再由累加法计算出数列
的通项公式,从而得到an的通项公式.
(3)由数学归纳法分步骤证明即可.
解答:解:(1)由已知,可得f'(x)=2ax+b,
∴
解之得
.
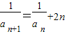
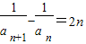
(2)∵
,
∴
.
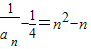
由


,
累加得
(n=2,3).
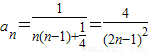
∴
(n=2,3).
当
∴
(n=1,2,3).
(3)当k=1时,由已知a1=4<5显然成立;
当k≥2时,
(k≥2)
则a1+a2+a3+…+ak
]=5
<5
综上,a1+a2+a3+…+ak<5(k=1,2,3)成立.
点评:本题综合了导数,数列和数学归纳法的知识点的考查,是高考中往往容易考查到的内容,在作答时也可以酌情按步骤给分.
(2)由题目中信息,得到数列{an}的递推关系式.再由累加法计算出数列
(3)由数学归纳法分步骤证明即可.
解答:解:(1)由已知,可得f'(x)=2ax+b,
∴
解之得
(2)∵
∴
由
累加得
∴
当
∴
(3)当k=1时,由已知a1=4<5显然成立;
当k≥2时,
则a1+a2+a3+…+ak
综上,a1+a2+a3+…+ak<5(k=1,2,3)成立.
点评:本题综合了导数,数列和数学归纳法的知识点的考查,是高考中往往容易考查到的内容,在作答时也可以酌情按步骤给分.
练习册系列答案
相关题目