题目内容

设等差数列的前n项和为,且

(Ⅰ)求数列的通项公式;

(Ⅱ)设数列前n项和为,且,令.求数列的前n项和.

 

【答案】

(I)(II).

【解析】

试题分析:此类问题的一般处理方法是,首先依题意,建立“”的方程组,确定数列的通项公式,进一步利用,应用的关系,确定的通项公式.根据数列的特征,利用“错位相减法”求和,属于常考题,易错点是忽视对两类情况的讨论.

试题解析:(Ⅰ)设等差数列的公差为

,  2分

,,  4分

所以数列的通项公式;  6分

(Ⅱ)因为,  7分

时,

时,,   10分

时不满足,  11分

时满足,  8分

所以数列的通项公式为

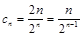
所以,  9分

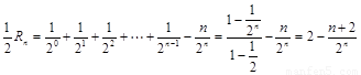
所以

,  10分

两式相减得:,  11分

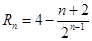
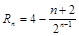
所以.  12分

考点:等差数列的通项公式,数列的前项和与第项之间的关系,“错位相减法”.

 

练习册系列答案
相关题目

违法和不良信息举报电话:027-86699610 举报邮箱:58377363@163.com

精英家教网