题目内容
已知函数f(x)=(1)用定义证明f(x)在x∈[1,+∞)上是增函数;
(2)若函数f(x)的定义域为[1,+∞),且m满足f(3m)>f(5-2m),试确定m的取值范围.
【答案】分析:(1)利用单调性的定义证明函数的单调性.
(2)利用函数的单调性的性质求解m的取值范围.
解答:解:(1)因为x∈[1,+∞),所以设1≤x1<x2,
若a=0,则
在[1,+∞)上是增函数.
若a<0,则
在[1,+∞)上是增函数.
若0<a<1,则
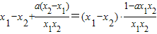
=
,
因为1≤x1<x2,a<1,所以x1-x20.
所以f(x1)-f(x2)<0,即f(x1)<f(x2),即函数为增函数.
综上恒有f(x)在x∈[1,+∞)上是增函数.
(2)由(1)知函数f(x)在x∈[1,+∞)上是增函数,
所以由f(3m)>f(5-2m),得
,即
,所以1<m≤2.
点评:本题主要考查了函数单调性的证明和应用,要求熟练掌握函数单调性的应用.
(2)利用函数的单调性的性质求解m的取值范围.
解答:解:(1)因为x∈[1,+∞),所以设1≤x1<x2,
若a=0,则
若a<0,则
若0<a<1,则
因为1≤x1<x2,a<1,所以x1-x20.
所以f(x1)-f(x2)<0,即f(x1)<f(x2),即函数为增函数.
综上恒有f(x)在x∈[1,+∞)上是增函数.
(2)由(1)知函数f(x)在x∈[1,+∞)上是增函数,
所以由f(3m)>f(5-2m),得
点评:本题主要考查了函数单调性的证明和应用,要求熟练掌握函数单调性的应用.
练习册系列答案
相关题目
已知函数f(x)=x2-bx的图象在点A(1,f(1))处的切线l与直线3x-y+2=0平行,若数列{
}的前n项和为Sn,则S2010的值为( )
| 1 |
| f(n) |
A、
| ||
B、
| ||
C、
| ||
D、
|