题目内容
已知函数f(x)=
。
(1)判断函数f(x)的单调性;
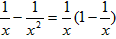
(2)若y=xf(x)+
的图象总在直线y=a的上方,求实数a的取值范围。
(1)判断函数f(x)的单调性;
(2)若y=xf(x)+
解:(1)
,
当0<x<e时,f′(x)>0,f(x)为增函数;
当e<x时,f′(x)< 0,f(x)为减函数;
(2)依据意,转化为不等式
对于x>0恒成立,
令
,则g′(x)=
,
当x∈(1,+∞)时,
因为g′(x)=
,
g(x)是(1,+∞)上的增函数;
当x∈(0,1)时,g′(x)<0,
g(x)是(0,1)上的减函数,
所以g(x)的最小值是g(1)=1,
从而a的取值范围是(-∞,1)。
当0<x<e时,f′(x)>0,f(x)为增函数;
当e<x时,f′(x)< 0,f(x)为减函数;
(2)依据意,转化为不等式
令
当x∈(1,+∞)时,
因为g′(x)=
g(x)是(1,+∞)上的增函数;
当x∈(0,1)时,g′(x)<0,
g(x)是(0,1)上的减函数,
所以g(x)的最小值是g(1)=1,
从而a的取值范围是(-∞,1)。
练习册系列答案
相关题目
已知函数f(x)=x2-bx的图象在点A(1,f(1))处的切线l与直线3x-y+2=0平行,若数列{
}的前n项和为Sn,则S2010的值为( )
| 1 |
| f(n) |
A、
| ||
B、
| ||
C、
| ||
D、
|