题目内容
已知函数f(x)=ex-x(e是自然对数的底数)(Ⅰ)求f(x)的最小值;
(Π)不等式f(x)>ax的解集为P,若
(Ⅲ)已知
【答案】分析:(Ⅰ)求导f'(x)=ex-1由f'(x)=0,解得x=0,易知当x>0时,f'(x)>0当x<0时,f'(x)<0故f(x)在x=0处取得最小值.
(Ⅱ)M∩P≠∅,即不等式f(x)>ax在区间
有解,转化为
在区间
有解,只要求得
的最大值即可.
(Ⅲ)先设存在公差为d首项等于f(1)的等差数列an和公比q大于0的等比数列bn,使得数列an+bn的前n项和等于Sn
由
,再由数列通项与前n项和之间的关系求解,若能求和d和q则为存在,否则为不存在.
解答:解:(Ⅰ)f'(x)=ex-1
由f'(x)=0,解得x=0
当x>0时,f'(x)>0
当x<0时,f'(x)<0
故f(x)在(-∞,+∞)连续,故fmin(x)=f(0)=1
(Ⅱ)∵M∩P≠∅,即不等式f(x)>ax在区间
有解,
f(x)>ax可化为(a+1)x<ex只需
在区间
有解
令
即a<gmax(x)∵
故g(x)在区间[
,1]递减,在区间[1,2]递增
又
,且
∴
所以,实数a的取值范围为
(Ⅲ)设存在公差为d首项等于f(1)的等差数列an
和公比q大于0的等比数列bn,使得数列an+bn的前n项和等于Sn
∵
b1=f(1)=e-1
∴
,故
又n≥2an+bn=Sn-Sn-1=en-1(e-1)-
故n=2,3,有
即d+(e-1)q=e(e-1)-1①2d+(e-1)q2=e2(e-1)-2②
②-①×2得q2-2q=e2-2e解得;q=e或q=2-e(舍去)
故q=e,d=-1
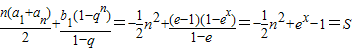
此时,
数列an+bn的前n项和等于
故存在满足题意的等差数列an金额等比数列bn,使得数列an+bn的前n项和等于Sn
点评:本题主要考查用导数法研究函数的单调性,基本思路是:当函数为增函数时,导数大于等于零;当函数为减函数时,导数小于等于零,还考查了不等式有解或恒成立问题,以及数列的通项与前n项和及其关系.
(Ⅱ)M∩P≠∅,即不等式f(x)>ax在区间
(Ⅲ)先设存在公差为d首项等于f(1)的等差数列an和公比q大于0的等比数列bn,使得数列an+bn的前n项和等于Sn
由
解答:解:(Ⅰ)f'(x)=ex-1
由f'(x)=0,解得x=0
当x>0时,f'(x)>0
当x<0时,f'(x)<0
故f(x)在(-∞,+∞)连续,故fmin(x)=f(0)=1
(Ⅱ)∵M∩P≠∅,即不等式f(x)>ax在区间
f(x)>ax可化为(a+1)x<ex只需
令
即a<gmax(x)∵
又
∴
所以,实数a的取值范围为
(Ⅲ)设存在公差为d首项等于f(1)的等差数列an
和公比q大于0的等比数列bn,使得数列an+bn的前n项和等于Sn
∵
b1=f(1)=e-1
∴
又n≥2an+bn=Sn-Sn-1=en-1(e-1)-
故n=2,3,有
即d+(e-1)q=e(e-1)-1①2d+(e-1)q2=e2(e-1)-2②
②-①×2得q2-2q=e2-2e解得;q=e或q=2-e(舍去)
故q=e,d=-1
此时,
故存在满足题意的等差数列an金额等比数列bn,使得数列an+bn的前n项和等于Sn
点评:本题主要考查用导数法研究函数的单调性,基本思路是:当函数为增函数时,导数大于等于零;当函数为减函数时,导数小于等于零,还考查了不等式有解或恒成立问题,以及数列的通项与前n项和及其关系.
练习册系列答案
相关题目