题目内容
已知函数f(x)=ln(x+a)-x2-x在x=0处取得极值。
(1)求实数a的值;
(2)求函数f(x)的单调区间;
(3)若关于x的方程f(x)=
x+b在区间(0,2)有两个不等实根,求实数b的取值范围。
(1)求实数a的值;
(2)求函数f(x)的单调区间;
(3)若关于x的方程f(x)=
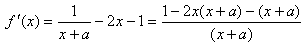
解:(1)由已知得

∵
∴
∴a=1。
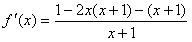
(2)由(1)得

由
由
∴f(x)的单调递增区间为(-1,0),单调递减区间为
。
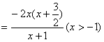
(3)令

则
令
得
(舍)
当
时,
当
时,
即
在
上递增,在(1,2)上递减
方程
在区间
有两个不等实根
等价于函数g(x)在(0,2)上有两个不同的零点
∴
∴
即实数b的取值范围为
。
∵
∴
∴a=1。
(2)由(1)得
由
由
∴f(x)的单调递增区间为(-1,0),单调递减区间为
(3)令
则
令
当
当
方程
等价于函数g(x)在(0,2)上有两个不同的零点
∴
∴
即实数b的取值范围为
练习册系列答案
相关题目