题目内容
设a为实数,设函数(Ⅰ)设t=
(Ⅱ)求g(a)
(Ⅲ)试求满足
【答案】分析:(I)
先求定义域,再求值域.由
转化.
(II)求g(a)即求函数
的最大值.严格按照二次函数求最值的方法进行.
(III)要求满足
的所有实数a,则必须应用g(a)的解析式,它是分段函数,必须分情况选择解析式进行求解.
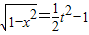
解答:解:(I)
要使有t意义,必须1+x≥0且1-x≥0,即-1≤x≤1,
∴
,t≥0①
t的取值范围是
由①得
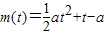
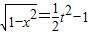
∴m(t)=a(
)+t=
(II)由题意知g(a)即为函数
的最大值.
注意到直线
是抛物线
的对称轴,
分以下几种情况讨论.
(1)当a>0时,函数y=m(t),
的图象是开口向上的抛物线的一段,
由
<0知m(t)在
上单调递增,
∴g(a)=m(2)=a+2
(2)当a=0时,m(t)=t,
,
∴g(a)=2.
(3)当a<0时,函数y=m(t),
的图象是开口向下的抛物线的一段,
若
,即
则
若
,即
则
若
,即
则g(a)=m(2)=a+2
综上有
(III)情形1:当a<-2时
,
此时
,
由
,与a<-2矛盾.
情形2:当
,
时,
此时
,

解得,
与
矛盾.
情形3:当
,
时,
此时
所以
,
情形4:当
时,
,
此时
,
,
解得
矛盾.
情形5:当
时,
,
此时g(a)=a+2,
由
解得
矛盾.
情形6:当a>0时,
,
此时g(a)=a+2,
由
,由a>0得a=1.
综上知,满足
的所有实数a为:
,或a=1
点评:本小题主要考查函数、方程等基本知识,考查分类讨论的数学思想方法和综合运用数学知识分析问题、解决问题的能力.
(II)求g(a)即求函数
(III)要求满足
解答:解:(I)
要使有t意义,必须1+x≥0且1-x≥0,即-1≤x≤1,
∴
t的取值范围是
由①得
∴m(t)=a(
(II)由题意知g(a)即为函数
注意到直线
分以下几种情况讨论.
(1)当a>0时,函数y=m(t),
由
∴g(a)=m(2)=a+2
(2)当a=0时,m(t)=t,
∴g(a)=2.
(3)当a<0时,函数y=m(t),
若
若
若
综上有
(III)情形1:当a<-2时
此时
由
情形2:当
此时
解得,
情形3:当
此时
所以
情形4:当
此时
解得
情形5:当
此时g(a)=a+2,
由
情形6:当a>0时,
此时g(a)=a+2,
由
综上知,满足
点评:本小题主要考查函数、方程等基本知识,考查分类讨论的数学思想方法和综合运用数学知识分析问题、解决问题的能力.
练习册系列答案
相关题目