题目内容
.要得到一个奇函数,只需将
的图象( )
A、向右平移
个单位
B、向右平移
个单位
C、向左平移
个单位
D、向左平移
个单位
【答案】
C
【解析】
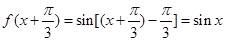
试题分析:
=2
,而
是奇函数,故选C.
考点:函数图象和性质.
练习册系列答案
相关题目
题目内容
.要得到一个奇函数,只需将
的图象( )
A、向右平移
个单位
B、向右平移
个单位
C、向左平移
个单位
D、向左平移
个单位
C
【解析】
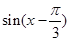
试题分析:
=2
,而
是奇函数,故选C.
考点:函数图象和性质.