题目内容
已知椭圆(1)求椭圆方程;
(2)过椭圆左顶点M(-a,0)与直线x=a上点N的直线交椭圆于点P,求
(3)过右焦点且不与对称轴平行的直线l交椭圆于A、B两点,点Q(2,t),若KQA+KQB=2与l的斜率无关,求t的值.
【答案】分析:(1)利用椭圆的三参数的关系列出一个方程,再将P的坐标代入得到另一个方程,解方程组求出椭圆的方程.
(2)设出N点,写出MN的方程,将MN方程与椭圆方程联立,由韦达定理表示出P的坐标,利用向量的坐标公式表示出两个向量的坐标,利用向量的数量积公式求出两个向量的数量积.
(3)设出AB的方程,将AB方程与椭圆方程联立,由韦达定理得到A,B坐标的关系,表示出KQA+KQB,令其为2,得到方程恒成立求t值.
解答:解:(1)由题意得
解得a2=2,b2=1
故椭圆方程为
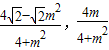
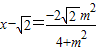
(2)设N(
),P(X,Y)则MN的方程为
由
得
由韦达定理得
所以
代入直线方程得
P(
)
∴
,
∴
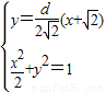
(3)AB的方程为x=my+1,设A(e,f),B(g,h)
由
得(m2+2)y2+2my-1=0
所以f+h=
,fh=
=
=
=
=2
∵KQA+KQB=2与l的斜率无关
∴2t=2,即t=1.
点评:本题考查利用待定系数法求椭圆方程、考查向量的坐标公式、考查向量的数量积公式、考查解决直线与圆锥曲线的位置关系常采用将直线方程与圆锥曲线方程联立,利用韦达定理.
(2)设出N点,写出MN的方程,将MN方程与椭圆方程联立,由韦达定理表示出P的坐标,利用向量的坐标公式表示出两个向量的坐标,利用向量的数量积公式求出两个向量的数量积.
(3)设出AB的方程,将AB方程与椭圆方程联立,由韦达定理得到A,B坐标的关系,表示出KQA+KQB,令其为2,得到方程恒成立求t值.
解答:解:(1)由题意得
故椭圆方程为
(2)设N(
由
由韦达定理得
P(
∴
∴
(3)AB的方程为x=my+1,设A(e,f),B(g,h)
由
所以f+h=
=
=
∵KQA+KQB=2与l的斜率无关
∴2t=2,即t=1.
点评:本题考查利用待定系数法求椭圆方程、考查向量的坐标公式、考查向量的数量积公式、考查解决直线与圆锥曲线的位置关系常采用将直线方程与圆锥曲线方程联立,利用韦达定理.
练习册系列答案
相关题目