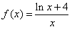
题目内容
已知函数f(x)=
,
(1)若a=4,求曲线f(x)在点(e,f(e))处的切线方程;
(2)求f(x)的极值;
(3)若函数f(x)的图象与函数g(x)=1的图象在区间(0,e2]上有公共点,求实数a的取值范围。
(1)若a=4,求曲线f(x)在点(e,f(e))处的切线方程;
(2)求f(x)的极值;
(3)若函数f(x)的图象与函数g(x)=1的图象在区间(0,e2]上有公共点,求实数a的取值范围。
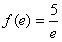
解:(1)∵a=4,
∴
且
,
又∵
,
∴
,
∴f(x)在点(e,f(e))处的切线方程为:
,即4x+e2y-9e=0.
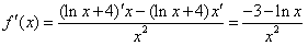
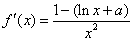
(2)f(x)的定义域为(0,+∞),
,
令f′(x)=0得
,
当
时,f′(x)>0,f(x)是增函数;
当
时,f′(x)<0,f(x)是减函数;
∴f(x)在
处取得极大值,即
。
(3)①当
,即a>-1时,由(2)知f(x)在(0,
)上是增函数,在
上是减函数,
∴当
时,f(x)取得最大值,即
;
又当x=e-a时,f(x)=0,当x∈(0,e-a]时,f(x)<0,
当x∈(e-a,e2]时,
,
所以f(x)的图象与g(x)=1的图象在(0,e2]上有公共点,
等价于
,解得a≥1,
又因为a>-1,所以a≥1;
②当
,即a≤-1时,f(x)在(0,e2]上是增函数,
∴f(x)在(0,e2]上的最大值为
,
∴原问题等价于
,解得a≥e2-2,
又∵a≤-1,
∴无解;
综上,a的取值范围是a≥1。
∴
又∵
∴
∴f(x)在点(e,f(e))处的切线方程为:
(2)f(x)的定义域为(0,+∞),
令f′(x)=0得
当
当
∴f(x)在
(3)①当
∴当
又当x=e-a时,f(x)=0,当x∈(0,e-a]时,f(x)<0,
当x∈(e-a,e2]时,
所以f(x)的图象与g(x)=1的图象在(0,e2]上有公共点,
等价于
又因为a>-1,所以a≥1;
②当
∴f(x)在(0,e2]上的最大值为
∴原问题等价于
又∵a≤-1,
∴无解;
综上,a的取值范围是a≥1。
练习册系列答案
相关题目
|
A、(
| ||||
B、(
| ||||
C、(
| ||||
D、[
|