题目内容
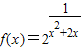
函数
【答案】分析:先求出f(x)的定义域,再利用指数函数的性质,对定义域进行讨论,求出f(x)的值域;
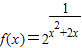
解答:解:∵函数
,
∴f(x)的定义域{x|x≠0且x≠-2},
若x>0,
>0,
因为x2+2x=(x+1)2-1≥0,所以
>2=1;
若-2<x<0时,
∵x2+2x=(x+1)2-1,∴-1≤x2+2x<0,
∴
≤-1,∴
≤2-1=
,
因为
>0,∴0<f(x)≤
,
若x<-2,x2+2x>0,可得
>0,可得f(x)>2=1,
综上:f(x)∈
;
故答案为:
点评:此题主要指数函数的性质,是一道基础题,解题的过程中用到了分类讨论的思想,也是一道好题;
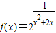
解答:解:∵函数
∴f(x)的定义域{x|x≠0且x≠-2},
若x>0,
因为x2+2x=(x+1)2-1≥0,所以
若-2<x<0时,
∵x2+2x=(x+1)2-1,∴-1≤x2+2x<0,
∴
因为
若x<-2,x2+2x>0,可得
综上:f(x)∈
故答案为:
点评:此题主要指数函数的性质,是一道基础题,解题的过程中用到了分类讨论的思想,也是一道好题;
练习册系列答案
相关题目