题目内容
已知函数f(x)=cos2x﹣sin2x+2
sonxcosx+1。
(1)求f(x)的最小正周期,并求f(x)的最小值;
(2)若f(a)=2,且a∈[
,
],求a的值。
(1)求f(x)的最小正周期,并求f(x)的最小值;
(2)若f(a)=2,且a∈[
解:(1)
=
因此f(x)的最小正周期为π,最小值为-1
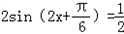
(2)由F(a)=2得
=2,即
,
而由
,得
故
,解得
。
因此f(x)的最小正周期为π,最小值为-1
(2)由F(a)=2得
而由
故
练习册系列答案
相关题目
已知函数f(x)=
,则关于x的方程f2(x)+bf(x)+c=0有5个不同实数解的充要条件是( )
|
| A、b<-2且c>0 |
| B、b>-2且c<0 |
| C、b<-2且c=0 |
| D、b≥-2且c=0 |