题目内容
设数列{an}的前n项和为Sn,a1=1,Sn+1=4an+2(n∈N+)(1)若bn=an+1-2an,求bn;
(2)若
(3)若
【答案】分析:(1)由已知利用递推关系即可得出bn+1=2bn,利用等比数列的通项公式即可得出bn;
(2)利用(1)和等比数列的前n项和公式即可得出;
(3)利用等差数列的定义即可证明.
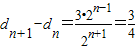
解答:解(1)∵a1=1,Sn+1=4an+2(n∈N+),
∴Sn+2=4an+1+2an+2=Sn+2-Sn+1=4(an+1-an),
∴an+2-2an+1=2(an+1-2an)
即bn+1=2bn
∴{bn}是公比为2的等比数列,且b1=a2-2a1
∵a1=1,a2+a1=S2
即a2+a1=4a1+2,
∴a2=3a1+2=5,
∴b1=5-2=3,
∴
.
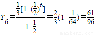
(2)∵
,
∴
,∴
∴{cn}是首项为
,公比为
的等比数列.
∴
.
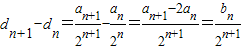
(3)∵
,
∴
即
,
∴{dn}是等差数列.
点评:熟练掌握递推关系、等比数列的通项公式、等比数列的前n项和公式、等差数列的定义是解题的关键.
(2)利用(1)和等比数列的前n项和公式即可得出;
(3)利用等差数列的定义即可证明.
解答:解(1)∵a1=1,Sn+1=4an+2(n∈N+),
∴Sn+2=4an+1+2an+2=Sn+2-Sn+1=4(an+1-an),
∴an+2-2an+1=2(an+1-2an)
即bn+1=2bn
∴{bn}是公比为2的等比数列,且b1=a2-2a1
∵a1=1,a2+a1=S2
即a2+a1=4a1+2,
∴a2=3a1+2=5,
∴b1=5-2=3,
∴
(2)∵
∴
∴{cn}是首项为
∴
(3)∵
∴
即
∴{dn}是等差数列.
点评:熟练掌握递推关系、等比数列的通项公式、等比数列的前n项和公式、等差数列的定义是解题的关键.
练习册系列答案
相关题目