题目内容
设函数f(x)的定义域为D,令M={k|f(x)≤k恒成立,x∈D},N={k|f(x)≥k恒成立,x∈D},已知
【答案】分析:由题意,x∈[0,2]时,
,确定
的最值,即可求得a的范围.
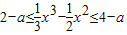
解答:解:由题意,x∈[0,2]时,
,∴
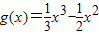
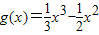
令
,则g′(x)=x2-x=x(x-1)
∵x∈[0,2],∴函数在[0,1]上单调递减,在[1,2]上单调递增
∴x=1时,g(x)min=-
∵g(0)=0,g(2)=
∴g(x)max=
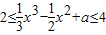
∴2-a≤-
且4-a≥
∴
故答案为:
点评:本题考查新定义,考查导数知识的运用,考查学生分析解决问题的能力,属于中档题.
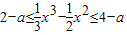
解答:解:由题意,x∈[0,2]时,
令
∵x∈[0,2],∴函数在[0,1]上单调递减,在[1,2]上单调递增
∴x=1时,g(x)min=-
∵g(0)=0,g(2)=
∴g(x)max=
∴2-a≤-
∴
故答案为:
点评:本题考查新定义,考查导数知识的运用,考查学生分析解决问题的能力,属于中档题.
练习册系列答案
相关题目