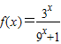
题目内容
函数A.关于原点对称
B.关于直线y=x对称
C.关于x轴对称
D.关于y轴对称
【答案】分析:先将函数进行适当变形,利用变形后函数的表达式的特点进行判断.
解答:解:函数
═
,
因为
,所以函数f(x)为偶函数,所以f(x)的图象关于y轴对称.
故选D.
点评:本题考查了函数图象的判断,要利用函数式的特点,函数图象的判断一般要先从函数奇偶性上进行判断.
解答:解:函数
因为
故选D.
点评:本题考查了函数图象的判断,要利用函数式的特点,函数图象的判断一般要先从函数奇偶性上进行判断.
练习册系列答案
相关题目