题目内容
已知等差数列{an}满足:a3=7,a5+a7=26.{an}的前n项和为Sn.(Ⅰ)求an及Sn;
(Ⅱ)令
【答案】分析:(1)根据等差数列所给的项和项间的关系,列出关于基本量的方程,解出等差数列的首项和公差,写出数列的通项公式和前n项和公式.
(2)根据前面做出的数列构造新数列,把新数列用裂项进行整理变为两部分的差,合并同类项,得到最简结果,本题考查的是数列求和的典型方法--裂项法,注意解题过程中项数不要出错.
解答:解:(Ⅰ)设等差数列{an}的公差为d,
∵a3=7,a5+a7=26,
∴有
,
解得a1=3,d=2,
∴an=3+2(n-1)=2n+1;
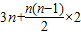
Sn=
=n2+2n;
(Ⅱ)由(Ⅰ)知an=2n+1,
∴bn=
=
=
=
,
∴Tn=
=
=
,
即数列{bn}的前n项和Tn=
.
点评:本题考查等差数列的通项公式与前n项和公式的应用、裂项法求数列的和,熟练数列的基础知识是解答好本类题目的关键.是每年要考的一道高考题目.
(2)根据前面做出的数列构造新数列,把新数列用裂项进行整理变为两部分的差,合并同类项,得到最简结果,本题考查的是数列求和的典型方法--裂项法,注意解题过程中项数不要出错.
解答:解:(Ⅰ)设等差数列{an}的公差为d,
∵a3=7,a5+a7=26,
∴有
解得a1=3,d=2,
∴an=3+2(n-1)=2n+1;
Sn=
(Ⅱ)由(Ⅰ)知an=2n+1,
∴bn=
∴Tn=
即数列{bn}的前n项和Tn=
点评:本题考查等差数列的通项公式与前n项和公式的应用、裂项法求数列的和,熟练数列的基础知识是解答好本类题目的关键.是每年要考的一道高考题目.
练习册系列答案
相关题目