题目内容
已知数列{an}的通项公式为an=2n-1,数列{bn}的前n项和为Tn,且满足Tn=1-bn(1)求{bn}的通项公式;
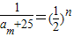
(2)在{an}中是否存在使得
【答案】分析:(1)由题意可知b1=
,bn=bn-1-bn,故{bn}为首项和公比均为
的等比数列,由此能够求出{bn}的通项公式;
(2)设{an}中第m项am满足题意,即
,从而可得m=2n-1-12,由此可得结论.
解答:解:(1)当n=1时,∵b1=T1=1-b1,∴b1=
…(2分)
当n≥2时,∵Tn=1-bn,∴Tn-1=1-bn-1,
两式相减得:bn=bn-1-bn,即:bn=
bn-1…(6分)
故{bn}为首项和公比均为
的等比数列,
∴bn=
…(8分)
(2)设{an}中第m项am满足题意,即
,即2m-1+25=2n
所以m=2n-1-12(m∈N*,n∈N*),取n=5,则m=4,a4=7(其它形如m=2n-1-12(m∈N*,n∈N*)的数均可)…(12分)
点评:本题考查数列的递推式的应用,考查等比数列的判定,考查学生分析解决问题的能力,属于中档题.
(2)设{an}中第m项am满足题意,即
解答:解:(1)当n=1时,∵b1=T1=1-b1,∴b1=
当n≥2时,∵Tn=1-bn,∴Tn-1=1-bn-1,
两式相减得:bn=bn-1-bn,即:bn=
故{bn}为首项和公比均为
∴bn=
(2)设{an}中第m项am满足题意,即
所以m=2n-1-12(m∈N*,n∈N*),取n=5,则m=4,a4=7(其它形如m=2n-1-12(m∈N*,n∈N*)的数均可)…(12分)
点评:本题考查数列的递推式的应用,考查等比数列的判定,考查学生分析解决问题的能力,属于中档题.
练习册系列答案
相关题目
已知数列{an}的通项为an=2n-1,Sn为数列{an}的前n项和,令bn=
,则数列{bn}的前n项和的取值范围为( )
| 1 |
| Sn+n |
A、[
| ||||
B、(
| ||||
C、[
| ||||
D、[
|