题目内容
已知函数f(x)=(1)判断f(x)的奇偶性;
(2)求函数的值域;
(3)判断并用定义证明f(x)在(-∞,+∞)上的单调性.
【答案】分析:(1)用函数的奇偶性定义判断,先求函数的定义域,看是否关于原点对称,若定义域关于原点对称,再判断f(-x)与f(x)是相等还是相反即可
(2)可运用分离常数的办法求此函数的值域,将函数f(x)=
等价转化为f(x)=1-
,再由复合函数值域的求法即换元法,求此函数值域即可
(3)任取x1,x2∈(-∞,+∞),且x1<x2,作差f(x1)-f(x2),并利用指数的运算性质,判断出f(x1)与f(x2)的大小,即可证明f(x)是(-∞,+∞)上的增函数.
解答:解:(1)函数的定义域为R,
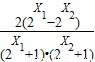
f(-x)+f(x)=
+
=
=0
∴函数f(x)为奇函数
(2)∵f(x)=
=1-
设t=ax,则t>0,y=1-
的值域为(-1,1)
∴该函数的值域为(-1,1)
(3)f(x)是(-∞,+∞)上的增函数
证明:设x1,x2∈(-∞,+∞),且x1<x2
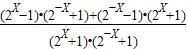
则f(x1)-f(x2)=
-
=
∵x1,x2∈R,且x1<x2
∴ax1-ax2<0,ax1+1>0,ax2+1>0,
∴
<0,
即f(x1)-f(x2)<0,
f(x1)<f(x2)
∴f(x)是(-∞,+∞)上的增函数
点评:本题考察了函数奇偶性的定义和判断方法,求函数值域的方法和证明函数单调性的方法,解题时要准确把握基本概念,熟练的运用转化化归思想解题
(2)可运用分离常数的办法求此函数的值域,将函数f(x)=
(3)任取x1,x2∈(-∞,+∞),且x1<x2,作差f(x1)-f(x2),并利用指数的运算性质,判断出f(x1)与f(x2)的大小,即可证明f(x)是(-∞,+∞)上的增函数.
解答:解:(1)函数的定义域为R,
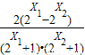
f(-x)+f(x)=
=
∴函数f(x)为奇函数
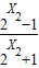
(2)∵f(x)=
设t=ax,则t>0,y=1-
∴该函数的值域为(-1,1)
(3)f(x)是(-∞,+∞)上的增函数
证明:设x1,x2∈(-∞,+∞),且x1<x2
则f(x1)-f(x2)=
∵x1,x2∈R,且x1<x2
∴ax1-ax2<0,ax1+1>0,ax2+1>0,
∴
即f(x1)-f(x2)<0,
f(x1)<f(x2)
∴f(x)是(-∞,+∞)上的增函数
点评:本题考察了函数奇偶性的定义和判断方法,求函数值域的方法和证明函数单调性的方法,解题时要准确把握基本概念,熟练的运用转化化归思想解题
练习册系列答案
相关题目
已知函数f(x)=x2-bx的图象在点A(1,f(1))处的切线l与直线3x-y+2=0平行,若数列{
}的前n项和为Sn,则S2010的值为( )
| 1 |
| f(n) |
A、
| ||
B、
| ||
C、
| ||
D、
|