题目内容
数列{an}中,a1=2,an+1=an+cn(c是不为零的常数,n=1,2,3,…),且a1,a2,a3成等比数列,
(Ⅰ)求c的值;
(Ⅱ)求{an}的通项公式;
(Ⅲ)求数列
的前n项之和Tn.
(Ⅰ)求c的值;
(Ⅱ)求{an}的通项公式;
(Ⅲ)求数列
解:(Ⅰ)a1=2,a2=2+c,a3=2+3c,
因为a1,a2,a3成等比数列,
所以(2+c)2=2(2+3c),解得c=0或c=2,
∵c≠0,
∴c=2.
(Ⅱ)当n≥2时,由于a2-a1=c,a3-a2=2c,…,an-an-1=(n-1)c,
所以
,
又a1=2,c=2,
故an=2+n(n-1)=n2-n+2(n=2,3,…),
当n=1时,上式也成立,
所以an=n2-n+2(n=1,2,…).
(Ⅲ)令
,
Tn=b1+b2+b3+…+bn
,①
,②
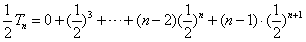
①-②得:
。
练习册系列答案
相关题目
数列{an}中,a1=
,an+an+1=
,n∈N*,则
(a1+a2+…+an)等于( )
| 1 |
| 5 |
| 6 |
| 5n+1 |
| lim |
| n→∞ |
A、
| ||
B、
| ||
C、
| ||
D、
|