题目内容
已知函数f(x)=(x+1)lnx.
(1)求f(x)在x=1处的切线方程;
(2)设
,对任意x∈(0,1),g(x)<﹣2,求实数a的取值范围.
(1)求f(x)在x=1处的切线方程;
(2)设
解:(1)函数f(x)=(x+1)lnx定义域为(0,+∞),
∵
,
∴f '(1)=2,且切点为(1,0)
故f(x)在x=1处的切线方程y=2x﹣2.
(2)由已知a≠0,因为x∈(0,1),
所以
.
①当a<0时,g(x)>0,不合题意.
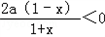
②当a>0时,x∈(0,1),由g(x)<﹣2,得 lnx+
.
设
,则x∈(0,1),h(x)<0.
.
设m(x)=x2+(2﹣4a)x+1,方程m(x)=0 的判别式△=16a(a﹣1).
若a∈(0,1],△≤0,m(x)≥0,h'(x)≥0,h(x)在(0,1)上是增函数,
又h(1)=0,所以x∈(0,1),h(x)<0.
若a∈(1,+∞),△>0,m(0)=1>0,m(1)=4(1﹣a)<0,
所以存在x0∈(0,1),使得m(x0)=0,对任意x∈(x0,1),m(x)<0,
h'(x)<0,h(x)在(x0,1)上是减函数,
又h(1)=0,所以x∈(x0,1),h(x)>0.
综上,实数a的取值范围是(0,1].
∵
∴f '(1)=2,且切点为(1,0)
故f(x)在x=1处的切线方程y=2x﹣2.
(2)由已知a≠0,因为x∈(0,1),
所以
①当a<0时,g(x)>0,不合题意.
②当a>0时,x∈(0,1),由g(x)<﹣2,得 lnx+
设
设m(x)=x2+(2﹣4a)x+1,方程m(x)=0 的判别式△=16a(a﹣1).
若a∈(0,1],△≤0,m(x)≥0,h'(x)≥0,h(x)在(0,1)上是增函数,
又h(1)=0,所以x∈(0,1),h(x)<0.
若a∈(1,+∞),△>0,m(0)=1>0,m(1)=4(1﹣a)<0,
所以存在x0∈(0,1),使得m(x0)=0,对任意x∈(x0,1),m(x)<0,
h'(x)<0,h(x)在(x0,1)上是减函数,
又h(1)=0,所以x∈(x0,1),h(x)>0.
综上,实数a的取值范围是(0,1].
练习册系列答案
相关题目
已知函数f(x)=x2-bx的图象在点A(1,f(1))处的切线l与直线3x-y+2=0平行,若数列{
}的前n项和为Sn,则S2010的值为( )
| 1 |
| f(n) |
A、
| ||
B、
| ||
C、
| ||
D、
|