题目内容
已知数列{an}为等差数列,若A.11
B.19
C.20
D.21
【答案】分析:由
,移项通分后,根据等差数列的前n项和Sn有最大值,可得a10>0,a11+a10<0,a11<0,可得a1+a19=2a10>0,a1+a20=a11+a10<0,即可求满足条件的n的值.
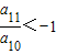
解答:解:由
,可得
,
由它们的前n项和Sn有最大可得数列的d<0,
∴a10>0,a11+a10<0,a11<0,
∴a1+a19=2a10>0,a1+a20=a11+a10<0,
则使得Sn<0的n的最小值为20.
故选C
点评:本题主要考查了等差数列的性质在求解和的最值中应用,解题的关键是由已知不等式及等差数列的前n项和Sn有最大值,得到a10>0,a11+a10<0,a11<0,灵活利用公式及等差数列的性质得到a1+a19=2a10>0,a1+a20=a11+a10<0是解决本题的另外关键点.
解答:解:由
由它们的前n项和Sn有最大可得数列的d<0,
∴a10>0,a11+a10<0,a11<0,
∴a1+a19=2a10>0,a1+a20=a11+a10<0,
则使得Sn<0的n的最小值为20.
故选C
点评:本题主要考查了等差数列的性质在求解和的最值中应用,解题的关键是由已知不等式及等差数列的前n项和Sn有最大值,得到a10>0,a11+a10<0,a11<0,灵活利用公式及等差数列的性质得到a1+a19=2a10>0,a1+a20=a11+a10<0是解决本题的另外关键点.
练习册系列答案
相关题目
定义:在数列{an}中,an>0且an≠1,若
为定值,则称数列{an}为“等幂数列”.已知数列{an}为“等幂数列”,且a1=2,a2=4,Sn为数列{an}的前n项和,则S2009=( )
| a | an+1 n |
| A、6026 | B、6024 |
| C、2 | D、4 |