题目内容
“若?x∈(1,2),x2+mx+4≥0”是假命题,则m的取值范围为 .
【答案】分析:写出命题的否命题,据已知命题为假命题,得到否命题为真命题;分离出-m;通过导函数求出不等式右边对应函数的在范围,求出m的范围.
解答:解:∵命题“?x∈(1,2)时,满足不等式x2+mx+4≥0”是假命题,
∴命题“?x∈(1,2)时,满足不等式x2+mx+4<0”是真命题,
∴
在(1,2)上恒成立
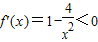
令
,x∈(1,2)
∵
∴f(x)<f(1)=5,
∴-m≥5,
∴m≤-5.
故答案为:(-∞,-5]
点评:本题考查了命题的真假判断与应用、二次函数恒成立问题.解答关键是将问题等价转化为否命题为真命题即不等式恒成立,进一步将不等式恒成立转化为函数的最值.
解答:解:∵命题“?x∈(1,2)时,满足不等式x2+mx+4≥0”是假命题,
∴命题“?x∈(1,2)时,满足不等式x2+mx+4<0”是真命题,
∴
令
∵
∴f(x)<f(1)=5,
∴-m≥5,
∴m≤-5.
故答案为:(-∞,-5]
点评:本题考查了命题的真假判断与应用、二次函数恒成立问题.解答关键是将问题等价转化为否命题为真命题即不等式恒成立,进一步将不等式恒成立转化为函数的最值.
练习册系列答案
相关题目