题目内容
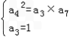
设递增等差数列{an}的前n项和为Sn,已知a3=1,a4是a3和a7的等比中项,
(I)求数列{an}的通项公式;
(II)求数列{an}的前n项和Sn.
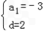
解:(I)在递增等差数列{an}中,设公差为d>0,
∵
, ∴
,
解得
∴an=﹣3+(n﹣1)×2=2n﹣5.
(II)由(I)知,在等差数列中,
,
∴
故
∵
解得
∴an=﹣3+(n﹣1)×2=2n﹣5.
(II)由(I)知,在等差数列中,
∴
故
练习册系列答案
相关题目