题目内容
在等差数列{an}中,a1=1,a7=7,数列bn=2an(1)求数列{an}的通项公式;
(2)求数列{bn}的前n和Sn.
【答案】分析:(1)设等差数列{an}的公差是d,根据通项公式和条件求出公差d,再代入通项公式化简即可;
(2)由(1)和题意求出bn,再由等比数列的定义进行证明,再代入等比数列前n项和公式化简.
解答:解:(1)设等差数列{an}的公差是d,
∵a7=a1+(7-1)d,且a1=1,
∴7=1+6d,解得d=1,
∴an=a1+(n-1)d=n,
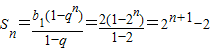
(2)由(1)知,
,
∴
,
∴{bn}是以2为首项,2为公比的等比数列,
∴
.
点评:本题考查了等差数列的通项公式,等比数列的判断方法,以及等比数列前n项和公式的综合应用.
(2)由(1)和题意求出bn,再由等比数列的定义进行证明,再代入等比数列前n项和公式化简.
解答:解:(1)设等差数列{an}的公差是d,
∵a7=a1+(7-1)d,且a1=1,
∴7=1+6d,解得d=1,
∴an=a1+(n-1)d=n,
(2)由(1)知,
∴
∴{bn}是以2为首项,2为公比的等比数列,
∴
点评:本题考查了等差数列的通项公式,等比数列的判断方法,以及等比数列前n项和公式的综合应用.
练习册系列答案
相关题目