题目内容
数列{an}满足
.
(Ⅰ)求a2,a3;
(Ⅱ) 求证:a1+a2+…+an=
;
(Ⅲ)求证:
.
(Ⅰ)求a2,a3;
(Ⅱ) 求证:a1+a2+…+an=
(Ⅲ)求证:
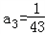
(Ⅰ)解:∵数列{an}满足
.
∴
,
(Ⅱ)证明:由
知
,
. (1)
所以
,即
.
从而 a1+a2+…+an=
=
.
(Ⅲ) 证明:
等价于证明
,即
. (2)
当n=1时,
,
,即n=1时,(2)成立.
设n=k(k≥1)时,(2)成立,即
.
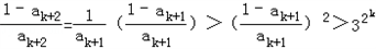
当n=k+1时,由(1)知
;
又由(1)及
知
均为整数,
从而由
有
即
,
所以
,即(2)对n=k+1也成立.
所以(2)对n≥1的正整数都成立,
即
对n≥1的正整数都成立.
∴
(Ⅱ)证明:由
所以
从而 a1+a2+…+an=
=
(Ⅲ) 证明:
当n=1时,
设n=k(k≥1)时,(2)成立,即
当n=k+1时,由(1)知
又由(1)及
从而由
所以
所以(2)对n≥1的正整数都成立,
即
练习册系列答案
相关题目