题目内容

数列中,,前项的和是,且.

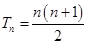
(1)求数列的通项公式;

(2)记,求.

 

【答案】

(1);(2).

【解析】

试题分析:(1)先利用之间的关系时,利用求出数列时的表达式,然后就进行检验,从而求出数列的通项公式;(2)在(1)的基础下,先求出数列的通项公式,然后利用公式法求出数列的通项公式.

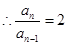
试题解析:(1)当时,由,得

上述两式相减得

故数列是以为首项,以为公比的等比数列,

(2)

.

考点:1.定义法求数列通项;2.等差数列求和

 

练习册系列答案
相关题目

违法和不良信息举报电话:027-86699610 举报邮箱:58377363@163.com

精英家教网