题目内容
已知函数f(x)是定义在实数集R上的不恒为零的偶函数,且对任意实数x都有xf(x+1)=(1+x)f(x),则A.0
B.
C.1
D.
【答案】分析:从xf(x+1)=(1+x)f(x)结构来看,要用递推的方法,先用赋值法求得
,再由
依此求解.
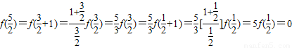
解答:解:若x≠0,则有
,取
,
则有:
∵f(x)是偶函数,则
由此得
于是,
故选A.
点评:本题主要考查利用函数的主条件用递推的方法求函数值,这类问题关键是将条件和结论有机地结合起来,作适当变形,把握递推的规律.
解答:解:若x≠0,则有
则有:
∵f(x)是偶函数,则
由此得
于是,
故选A.
点评:本题主要考查利用函数的主条件用递推的方法求函数值,这类问题关键是将条件和结论有机地结合起来,作适当变形,把握递推的规律.
练习册系列答案
相关题目