题目内容
关于x的不等式
【答案】分析:由解集可得1-a≠0,且
,解之可得a的范围,化简不等式,针对系数结合a的范围分类讨论可得.
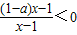
解答:解:由题意可得1-a≠0,且
,
故可得
,即
,
解之可得a<0,或a>1
而原不等式可化为
,
化简可得
,
当a<0时,上式的解集为(
,1),
而当a>1时,上式的解集为(-∞,
)∪(1,+∞),不合题意,
综上可得a的取值范围为:a<0
故答案为:a<0
点评:本题考查分式不等式的解集,涉及分类讨论的思想,属中档题.
解答:解:由题意可得1-a≠0,且
故可得
解之可得a<0,或a>1
而原不等式可化为
化简可得
当a<0时,上式的解集为(
而当a>1时,上式的解集为(-∞,
综上可得a的取值范围为:a<0
故答案为:a<0
点评:本题考查分式不等式的解集,涉及分类讨论的思想,属中档题.
练习册系列答案
相关题目