题目内容
已知函数f(x)=lg(x+1),g(x)=lg(1-x).(1)求函数f(x)-g(x)的定义域;
(2)判断函数f(x)-g(x)的奇偶性,并说明理由;
(3)判断函数f(x)-g(x)在定义域上的单调性,并证明你的结论.
【答案】分析:(1)利用真数大于0,可得函数的定义域;
(2)利用奇偶函数的定义,可得函数f(x)-g(x)的奇偶性;
(3)利用函数单调性的定义,可得函数f(x)-g(x)在定义域上的单调性.
解答:解:(1)由x+1>0且1-x>0,得-1<x<1,因此函数定义域为{x|-1<x<1};
(2)设F(x)=f(x)-g(x),则F(-x)=f(-x)-g(-x)=lg(-x+1)-lg(1+x)=-F(x),
∴F(x)=f(x)-g(x)是奇函数;
(3)函数f(x)-g(x)在定义域上为增函数.
设f(x)-g(x)=lg
,令h(x)=
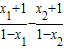
设-1<x1<x2<1,则h(x1)-h(x2)=
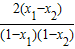
=
∵-1<x1<x2<1,∴
<0,∴h(x1)-h(x2)<0,
∴h(x) 在(-1,1)上为增函数,
∴f(x)-g(x)在(-1,1)上为增函数.
点评:本题考查函数的单调性与奇偶性,掌握函数奇偶性与单调性的定义是关键.
(2)利用奇偶函数的定义,可得函数f(x)-g(x)的奇偶性;
(3)利用函数单调性的定义,可得函数f(x)-g(x)在定义域上的单调性.
解答:解:(1)由x+1>0且1-x>0,得-1<x<1,因此函数定义域为{x|-1<x<1};
(2)设F(x)=f(x)-g(x),则F(-x)=f(-x)-g(-x)=lg(-x+1)-lg(1+x)=-F(x),
∴F(x)=f(x)-g(x)是奇函数;
(3)函数f(x)-g(x)在定义域上为增函数.
设f(x)-g(x)=lg
设-1<x1<x2<1,则h(x1)-h(x2)=
∵-1<x1<x2<1,∴
∴h(x) 在(-1,1)上为增函数,
∴f(x)-g(x)在(-1,1)上为增函数.
点评:本题考查函数的单调性与奇偶性,掌握函数奇偶性与单调性的定义是关键.
练习册系列答案
相关题目