题目内容
(江苏卷)(本题满分10分)
在平面直角坐标系
中,抛物线C的顶点在原点,经过点A(2,2),其焦点F在
轴上。
(1)求抛物线C的标准方程;
(2)求过点F,且与直线OA垂直的直线的方程;
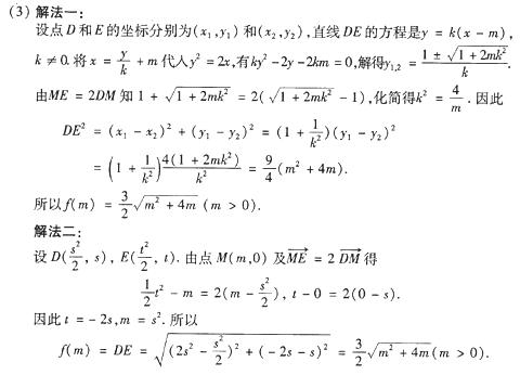
(3)设过点
的直线交抛物线C于D、E两点,ME=2DM,记D和E两点间的距离为
,求
关于
的表达式。
![]()
解析:
![]()
![]()
练习册系列答案
相关题目
题目内容
(江苏卷)(本题满分10分)
在平面直角坐标系
中,抛物线C的顶点在原点,经过点A(2,2),其焦点F在
轴上。
(1)求抛物线C的标准方程;
(2)求过点F,且与直线OA垂直的直线的方程;
(3)设过点
的直线交抛物线C于D、E两点,ME=2DM,记D和E两点间的距离为
,求
关于
的表达式。
![]()
![]()
![]()