题目内容
已知函数y=f(x)是R上的偶函数,对于任意x∈R,都有f(x+6)=f(x)+f(3)成立,当x1,x2∈[0,3],且x1≠x2时,都有①f(3)=0;
②直线x=-6是函数y=f(x)的图象的一条对称轴;
③函数y=f(x)在[-9,-6]上为增函数;
④函数y=f(x)在[-9,9]上有四个零点.
其中所有正确命题的序号为 (把所有正确命题的序号都填上)
【答案】分析:(1)、赋值x=-3,又因为f(x)是R上的偶函数,f(3)=0.
(2)、f(x)是R上的偶函数,所以f(x+6)=f(-x),又因为f (x+6)=f (x),得周期为6,
从而f(-6-x)=f(-6+x),所以直线x=-6是函数y=f(x)的图象的一条对称轴
(3)、有单调性定义知函数y=f(x)在[0,3]上为增函数,f(x)的周期为6,所以函数y=f(x)在[-9,-6]上为减函数.
(4)、f(3)=0,f(x)的周期为6,所以:f(-9)=f(-3)=f(3)=f(9)=0.
解答:解:①:对于任意x∈R,都有f (x+6)=f (x)+f (3)成立,令x=-3,则f(-3+6)=f(-3)+f (3),又因为f(x)是R上的偶函数,所以f(3)=0.
②:由(1)知f (x+6)=f (x),所以f(x)的周期为6,
又因为f(x)是R上的偶函数,所以f(x+6)=f(-x),
而f(x)的周期为6,所以f(x+6)=f(-6+x),f(-x)=f(-x-6),
所以:f(-6-x)=f(-6+x),所以直线x=-6是函数y=f(x)的图象的一条对称轴.
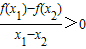
③:当x1,x2∈[0,3],且x1≠x2时,都有
所以函数y=f(x)在[0,3]上为增函数,
因为f(x)是R上的偶函数,所以函数y=f(x)在[-3,0]上为减函数
而f(x)的周期为6,所以函数y=f(x)在[-9,-6]上为减函数.
④:f(3)=0,f(x)的周期为6,
所以:f(-9)=f(-3)=f(3)=f(9)=0
函数y=f(x)在[-9,9]上有四个零点.
故答案为:①②④.
点评:本题重点考查函数性质的应用,用到了单调性,周期性,奇偶性,对称轴还有赋值法求函数值.
(2)、f(x)是R上的偶函数,所以f(x+6)=f(-x),又因为f (x+6)=f (x),得周期为6,
从而f(-6-x)=f(-6+x),所以直线x=-6是函数y=f(x)的图象的一条对称轴
(3)、有单调性定义知函数y=f(x)在[0,3]上为增函数,f(x)的周期为6,所以函数y=f(x)在[-9,-6]上为减函数.
(4)、f(3)=0,f(x)的周期为6,所以:f(-9)=f(-3)=f(3)=f(9)=0.
解答:解:①:对于任意x∈R,都有f (x+6)=f (x)+f (3)成立,令x=-3,则f(-3+6)=f(-3)+f (3),又因为f(x)是R上的偶函数,所以f(3)=0.
②:由(1)知f (x+6)=f (x),所以f(x)的周期为6,
又因为f(x)是R上的偶函数,所以f(x+6)=f(-x),
而f(x)的周期为6,所以f(x+6)=f(-6+x),f(-x)=f(-x-6),
所以:f(-6-x)=f(-6+x),所以直线x=-6是函数y=f(x)的图象的一条对称轴.
③:当x1,x2∈[0,3],且x1≠x2时,都有
所以函数y=f(x)在[0,3]上为增函数,
因为f(x)是R上的偶函数,所以函数y=f(x)在[-3,0]上为减函数
而f(x)的周期为6,所以函数y=f(x)在[-9,-6]上为减函数.
④:f(3)=0,f(x)的周期为6,
所以:f(-9)=f(-3)=f(3)=f(9)=0
函数y=f(x)在[-9,9]上有四个零点.
故答案为:①②④.
点评:本题重点考查函数性质的应用,用到了单调性,周期性,奇偶性,对称轴还有赋值法求函数值.
练习册系列答案
相关题目