题目内容
已知椭圆的一个顶点为A(0,-1),焦点在x轴上.若右焦点到直线(1)求椭圆的方程;
(2)设椭圆与直线y=kx+m(k≠0)相交于不同的两点M、N.当|AM|=|AN|时,求m的取值范围.
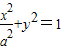
【答案】分析:(1)依题意可设椭圆方程为
,由题设
解得a2=3,故所求椭圆的方程为
.
(2)设P为弦MN的中点,由
得(3k2+1)x2+6mkx+3(m2-1)=0,由于直线与椭圆有两个交点,∴△>0,即m2<3k2+1.由此可推导出m的取值范围.
解答:解:(1)依题意可设椭圆方程为
,
则右焦点F(
)由题设
解得a2=3故所求椭圆的方程为
;
(2)设P为弦MN的中点,由
得(3k2+1)x2+6mkx+3(m2-1)=0
由于直线与椭圆有两个交点,∴△>0,即m2<3k2+1①
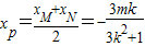
∴
从而
∴
又|AM|=||AN|,∴AP⊥MN,
则
即2m=3k2+1②
把②代入①得2m>m2解得0<m<2由②得
解得
.
故所求m的取范围是(
).
点评:本题考查直线与椭圆的位置关系,解题时要认真审题,仔细解答.
(2)设P为弦MN的中点,由
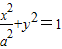
解答:解:(1)依题意可设椭圆方程为
则右焦点F(
解得a2=3故所求椭圆的方程为
(2)设P为弦MN的中点,由
得(3k2+1)x2+6mkx+3(m2-1)=0
由于直线与椭圆有两个交点,∴△>0,即m2<3k2+1①
∴
∴
则
把②代入①得2m>m2解得0<m<2由②得
故所求m的取范围是(
点评:本题考查直线与椭圆的位置关系,解题时要认真审题,仔细解答.
练习册系列答案
相关题目