题目内容
已知函数f(x)=2
-2的反函数为f-1(x),各项均为正数的两个数列{an},{bn}满足:an= f(Sn),bn= f-1(n),其中Sn为数列{an}的前n项和,n∈N*,
(1)求数列{an},{bn}的通项公式;
(2)若数列{cn}的前n项和为Tn,且
,试比较Tn与
的大小。
(1)求数列{an},{bn}的通项公式;
(2)若数列{cn}的前n项和为Tn,且
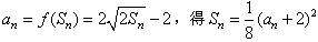
解:(1)由
,
∴
,
由
,
当n=1时,得
;
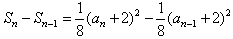
当n≥2时,
,
∴
,
∴
,
∵an>0,
∴
,
∴
。
(2)
,
∴
。
∴
由
当n=1时,得
当n≥2时,
∴
∴
∵an>0,
∴
∴
(2)
∴
练习册系列答案
相关题目