题目内容
设函数f(x)=x2+bln(x+1),其中b≠0.
(Ⅰ)当
时,判断函数f(x)在定义域上的单调性;
(Ⅱ)求函数f(x)的极值点;
(Ⅲ)证明对任意的正整数n,不等式
都成立.
(Ⅰ)当
(Ⅱ)求函数f(x)的极值点;
(Ⅲ)证明对任意的正整数n,不等式
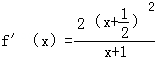
解:(Ⅰ)函数f(x)=x2+bln(x+1)的定义域在(﹣1,+∞)

令g(x)=2x2+2x+b,
则g(x)在
上递增,在
上递减,
g(x)=2x2+2x+b>0在(﹣1,+∞)上恒成立,
所以f'(x)>0即当
,函数f(x)在定义域(﹣1,+∞)上单调递增.
(Ⅱ)(1)由(Ⅰ)知当
函数f(x)无极值点
(2)当
时,
,
∴
,
∴
时,函数f(x)在(﹣1,+∞)上无极值点
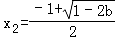
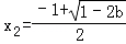
(3)当
时,解f'(x)=0得两个不同解
当b<0时,
∴x1∈(﹣1,+∞),x2∈(﹣1,+∞),
此时f(x)在(﹣1,+∞)上有唯一的极小值点
当
时,x1,x2∈(﹣1,+∞)f'(x)在(﹣1,x1),(x2,+∞)都大于0,f'(x)在(x1,x2)上小于0,
此时f(x)有一个极大值点
和一个极小值点
综上可知,b<0,时,f(x)在(﹣1,+∞)上有唯一的极小值点
时,f(x)有一个极大值点
和一个极小值点
时,函数f(x)在(﹣1,+∞)上无极值点.
(Ⅲ)当b=﹣1时,f(x)=x2﹣ln(x+1).令
上恒正
∴h(x)在[0,+∞)上单调递增,
当x∈(0,+∞)时,恒有h(x)>h(0)=0
即当x∈(0,+∞)时,有x3﹣x2+ln(x+1)>0,ln(x+1)>x2﹣x3,对任意正整数n,取
令g(x)=2x2+2x+b,
则g(x)在
g(x)=2x2+2x+b>0在(﹣1,+∞)上恒成立,
所以f'(x)>0即当
(Ⅱ)(1)由(Ⅰ)知当
(2)当
∴
∴
(3)当
当b<0时,
∴x1∈(﹣1,+∞),x2∈(﹣1,+∞),
此时f(x)在(﹣1,+∞)上有唯一的极小值点
当
此时f(x)有一个极大值点
综上可知,b<0,时,f(x)在(﹣1,+∞)上有唯一的极小值点
(Ⅲ)当b=﹣1时,f(x)=x2﹣ln(x+1).令
∴h(x)在[0,+∞)上单调递增,
当x∈(0,+∞)时,恒有h(x)>h(0)=0
即当x∈(0,+∞)时,有x3﹣x2+ln(x+1)>0,ln(x+1)>x2﹣x3,对任意正整数n,取
练习册系列答案
相关题目