题目内容
已知等差数列{an}满足:a5=9,a2+a6=14.(1)求{an}的通项公式;
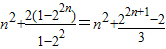
(2)若
【答案】分析:(1)设{an}的首项为a1,公差为d,由已知建立方程组可解;(2)由(1)可得数列{bn}的通项公式,分别代公式可得结果.
解答:解:(1)设{an}的首项为a1,公差为d,
则由a5=9,a2+a6=14,得
…(2分)
解得
…(4分)
所以{an}的通项公式an=2n-1.…(6分)
(2)由(1)知an=2n-1,所以
.…(8分)
…(10分)
=
…(12分)
点评:本题为等差数列与等比数列的综合应用,涉及等差数列的通项和两种数列的求和公式,属基础题.
解答:解:(1)设{an}的首项为a1,公差为d,
则由a5=9,a2+a6=14,得
解得
所以{an}的通项公式an=2n-1.…(6分)
(2)由(1)知an=2n-1,所以
=
点评:本题为等差数列与等比数列的综合应用,涉及等差数列的通项和两种数列的求和公式,属基础题.
练习册系列答案
相关题目