题目内容
已知数列{an}中,a1=1,Sn是数列{an}的前n项和,且对任意n∈N*,有an+1=kSn+1(k为常数),
(Ⅰ)当k=2时,求a2,a3的值;
(Ⅱ)试判断数列{an}是否为等比数列?请说明理由。
(Ⅰ)当k=2时,求a2,a3的值;
(Ⅱ)试判断数列{an}是否为等比数列?请说明理由。
解:(Ⅰ)当k=2时,
,
令n=1得a2=2S1+1,
又a1=S1=1,得a2=3;
令n=2得a3=2S2+1=2(a1+a2)+1=9,∴a3=9,
∴a2=3,a3=9;
(Ⅱ)由
,得
,
两式相减,得
,
即
,且
,
故
,
故当k=-1时,
,此时,{an}不是等比数列;
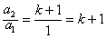
当k≠-1时,
,
此时,{an}是首项为1,公比为k+1的等比数列;
综上,当k=-1时,{an}不是等比数列;当k≠-1时,{an}是等比数列。
令n=1得a2=2S1+1,
又a1=S1=1,得a2=3;
令n=2得a3=2S2+1=2(a1+a2)+1=9,∴a3=9,
∴a2=3,a3=9;
(Ⅱ)由
两式相减,得
即
故
故当k=-1时,
当k≠-1时,
此时,{an}是首项为1,公比为k+1的等比数列;
综上,当k=-1时,{an}不是等比数列;当k≠-1时,{an}是等比数列。
练习册系列答案
相关题目
已知数列{an}中,a1=1,2nan+1=(n+1)an,则数列{an}的通项公式为( )
A、
| ||
B、
| ||
C、
| ||
D、
|