题目内容
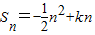
已知数列{an}的前n项和Sn=-(1)确定常数k,求an;
(2)求数列
【答案】分析:(1)由二次函数的性质可知,当n=k时,
取得最大值,代入可求k,然后利用an=sn-sn-1可求通项
(2)由
=
,可利用错位相减求和即可
解答:解:(1)当n=k时,
取得最大值
即
=
=8
∴k=4,Sn=-
n2+4n
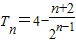
从而an=sn-sn-1=
-[-
(n-1)2+4(n-1)]=
又∵
适合上式
∴
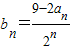
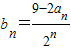
(2)∵
=
∴
=
两式向减可得,
=
=
∴
点评:本题主要考查了由数列的递推公式求解数列的通项公式,及数列求和的错位相减求和方法是数列求和中的重要方法,也是高考在数列部分(尤其是理科)考查的热点,要注意掌握
(2)由
解答:解:(1)当n=k时,
即
∴k=4,Sn=-
从而an=sn-sn-1=
又∵
∴
(2)∵
∴
两式向减可得,
=
∴
点评:本题主要考查了由数列的递推公式求解数列的通项公式,及数列求和的错位相减求和方法是数列求和中的重要方法,也是高考在数列部分(尤其是理科)考查的热点,要注意掌握
练习册系列答案
相关题目
已知数列{an}的前n项和Sn=an2+bn(a、b∈R),且S25=100,则a12+a14等于( )
| A、16 | B、8 | C、4 | D、不确定 |