题目内容

已知数列{an}满足an+1=|an-1|(n∈N*).
(1)a1=,计算a2,a3,a4的值,并写出数列{an}(n∈N*,n≥2)的通项公式;
(2) 是否存在a1,n0(a1∈R,n0∈N*),使得当n≥n0(n∈N*)时, an恒为常数,若存在,求出a1,n0,否则说明理由;
(3) 若a1=a∈(k,k+1),(k∈N*). ,求{an}的前3k项的和S3k(用k,a表示).

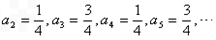
解(1) ,,以此类推     
时, 其中.  
(2)∵
∴an≥1时, .
若0<a1<1时, a2=1-a1,a3=1-a2=a1,此时只需,故存在.  
若a1=b≥1时,不妨设若时,时,
,

∴a1=m+,n≥m+1时,
若a1=c<0,不妨设,
∴a2=-c+1∈(l,l+1),
∴a3=a2-1=-c,a4=-c-1,

,,则
 故存在三组 : ; ;  ;其中   
(3) ,时,
,  
.  
  
 

练习册系列答案
相关题目

违法和不良信息举报电话:027-86699610 举报邮箱:58377363@163.com

精英家教网