题目内容
已知各项均为正数的数列{an}前n项的和为Sn,数列(1)证明数列{an}是等比数列,并写出通项公式;
(2)若
【答案】分析:(1)利用
,再写一式两式相减,化简可得2Sn+1-Sn=2,再写一式,两式相减,即可证明数列{an}是等比数列,从而可得通项公式;
(2)先求和,再分离参数,确定函数的范围,即可求得λ的最小值.
解答:(1)证明:因为
,其中Sn是数列{an}的前n项和,Tn是数列
的前n项和,且an>0,
所以,当n=1时,由
,解得a1=1,…(2分)
当n=2时,由
,解得
; …(4分)
由
,知
,
两式相减得
,即
,…(5分)
亦即2Sn+1-Sn=2,从而2Sn-Sn-1=2,(n≥2),
再次相减得
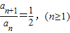
,又
,所以
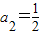
所以数列{an}是首项为1,公比为
的等比数列,…(7分)
其通项公式为
,n∈N*.…(8分)
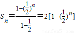
(2)解:由(1)可得
,
,…(10分)
若
对n∈N*恒成立,只需
对n∈N*恒成立,
因为
对n∈N*恒成立,所以λ≥3,即λ的最小值为3;
点评:本题考查数列递推式,考查等比数列的证明,考查数列的通项与求和,考查恒成立问题,正确求通项是关键.
(2)先求和,再分离参数,确定函数的范围,即可求得λ的最小值.
解答:(1)证明:因为
所以,当n=1时,由
当n=2时,由
由
两式相减得
亦即2Sn+1-Sn=2,从而2Sn-Sn-1=2,(n≥2),
再次相减得
所以数列{an}是首项为1,公比为
其通项公式为
(2)解:由(1)可得
若
因为
点评:本题考查数列递推式,考查等比数列的证明,考查数列的通项与求和,考查恒成立问题,正确求通项是关键.
练习册系列答案
相关题目