题目内容
已知函数f(x)=2cos2x-2acosx-(2a+1)(1)求函数f(x)的最小值;
(2)设f(x)的最小值为g(a),若g(a)<m恒成立,求m的范围.
【答案】分析:(1)令cosx=t,t∈[-1,1],则y=2t2-2at-(2a+1),再进行分类讨论;
(2)求出g(a)的值域,由g(a)<m恒成立,可得g(a)max<m,从而可求m的范围.
解答:解:(1)令cosx=t,t∈[-1,1],则y=2t2-2at-(2a+1),对称轴t=
当
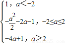
<-1,即a<-2时,[-1,1]是函数y的递增区间,ymin=1
当
>1,即a>2时,[-1,1]是函数y的递减区间,ymin=-4a+1
当-1≤
≤1,即-2≤a≤2时,ymin=-
-2a-1;
∴f(x)min=
;
(2)当a<-2时,g(a)=1;
当-2≤a≤2时,g(a)=-
-2a-1=-
(a+2)2+1,∴-7≤g(a)≤1
当a>2时,g(a)=-4a+1,∴g(a)≤-7
综上,g(a)≤1
∵g(a)<m恒成立,
∴m>1
点评:本题主要考查二次函数的最值,考查恒成立问题,应注意把握区间与对称轴之间的关系,做好分类讨论.
(2)求出g(a)的值域,由g(a)<m恒成立,可得g(a)max<m,从而可求m的范围.
解答:解:(1)令cosx=t,t∈[-1,1],则y=2t2-2at-(2a+1),对称轴t=
当
当
当-1≤
∴f(x)min=
(2)当a<-2时,g(a)=1;
当-2≤a≤2时,g(a)=-
当a>2时,g(a)=-4a+1,∴g(a)≤-7
综上,g(a)≤1
∵g(a)<m恒成立,
∴m>1
点评:本题主要考查二次函数的最值,考查恒成立问题,应注意把握区间与对称轴之间的关系,做好分类讨论.
练习册系列答案
相关题目