题目内容

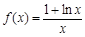
已知函数

(Ⅰ)若函数在区间上存在极值,求实数的取值范围;

(Ⅱ)如果当时,不等式恒成立,求实数的取值范围,并且判断代数式的大小.

 

【答案】

(Ⅰ);(Ⅱ)

【解析】

试题分析:(Ⅰ)先对函数求导,求出函数的极值,根据函数在区间上存在极值,

所以  从而解得(Ⅱ)不等式恒成立问题转化为求函数的最值问题,根据不等式的性质比较的大小.

试题解析:

解:(Ⅰ)因为,则,          (1分)

时,;当时,.

所以上单调递增;在上单调递减,

所以函数处取得极大值.                    (2分)

因为函数在区间上存在极值,

所以 解得                         (4分)

(Ⅱ)不等式即为 记

所以.         (5分)

,则

上单调递增,

,从而

上也单调递增,所以

所以.                               (7分)

由上述知恒成立,即, 

,则

, ,

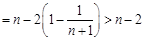
,                         (9分)

叠加得

.

所以.               (12分)

考点:函数与导数,函数极值与最值,不等式恒成立问题,不等式的性质.

 

练习册系列答案
相关题目

违法和不良信息举报电话:027-86699610 举报邮箱:58377363@163.com

精英家教网