题目内容
已知数列{an}和{bn}满足a1=b1,且对任意n∈N*都有an+bn=1,
,
(Ⅰ)求数列{an}和{bn}的通项公式;
(Ⅱ)证明:
。
(Ⅰ)求数列{an}和{bn}的通项公式;
(Ⅱ)证明:
(Ⅰ)解:∵对任意n∈N*都有an+bn=1,
,
∴
,
∴
,即
,
∴数列
是首项为
,公差为1的等差数列,
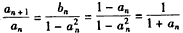
∵
,且
,
∴
,
∴
,
∴
。
(Ⅱ) 证明:∵
,
∴
,
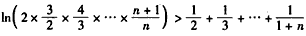
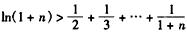
∴所证不等式
,
即
,
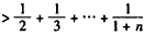
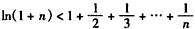
①先证右边不等式
,
令
,
则
,
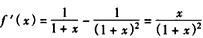
当x>0时,
,
所以函数f(x)在
上单调递减,
∴当x>0时,
,即
,
分别取
,
得
,
即
,
也即
,
即
,
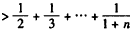
②再证左边不等式
,
令
,
则
,
当x>0时,
,
所以函数f(x)在
上单调递增,
所以,当x>0时,
,即
,
分别取
,
得
,
即
,
也即
,
即
,
∴
。
∴
∴
∴数列
∵
∴
∴
∴
(Ⅱ) 证明:∵
∴
∴所证不等式
即
①先证右边不等式
令
则
当x>0时,
所以函数f(x)在
∴当x>0时,
分别取
得
即
也即
即
②再证左边不等式
令
则
当x>0时,
所以函数f(x)在
所以,当x>0时,
分别取
得
即
也即
即
∴
练习册系列答案
相关题目