题目内容
有编号为1,2,3,…,n的n个学生,入坐编号为1,2,3,…n的n个座位.每个学生规定坐一个座位,设学生所坐的座位号与该生的编号不同的学生人数为ξ,已知ξ=2时,共有6种坐法.(1)求n的值;
(2)求随机变量ξ的概率分布列和数学期望.
【答案】分析:(1)解题的关键是ξ=2时,共有6种坐法,写出关于n的表示式,解出未知量,把不合题意的舍去.
(2)学生所坐的座位号与该生的编号不同的学生人数为ξ,由题意知ξ的可能取值是0,2,3,4,当变量是0时表示学生所坐的座位号与该生的编号都相同,当变量是2时表示学生所坐的座位号与该生的编号有2个相同,理解变量对应的事件,写出分布列和期望.
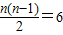
解答:解:(1)∵当ξ=2时,有Cn2种坐法,
∴Cn2=6,
即
,
n2-n-12=0,n=4或n=-3(舍去),
∴n=4.
(2)∵学生所坐的座位号与该生的编号不同的学生人数为ξ,
由题意知ξ的可能取值是0,2,3,4,
当变量是0时表示学生所坐的座位号与该生的编号都相同,
当变量是2时表示学生所坐的座位号与该生的编号有2个相同,
当变量是3时表示学生所坐的座位号与该生的编号有1个相同,
当变量是4时表示学生所坐的座位号与该生的编号有0个相同,
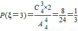
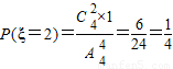
∴
,
,
,
,
∴ξ的概率分布列为:

∴
.
点评:培养运用从具体到抽象、从特殊到一般的观点分析问题的能力,充分体现数学的化归思想.启发诱导的同时,训练了学生观察和概括归纳的能力.
(2)学生所坐的座位号与该生的编号不同的学生人数为ξ,由题意知ξ的可能取值是0,2,3,4,当变量是0时表示学生所坐的座位号与该生的编号都相同,当变量是2时表示学生所坐的座位号与该生的编号有2个相同,理解变量对应的事件,写出分布列和期望.
解答:解:(1)∵当ξ=2时,有Cn2种坐法,
∴Cn2=6,
即
n2-n-12=0,n=4或n=-3(舍去),
∴n=4.
(2)∵学生所坐的座位号与该生的编号不同的学生人数为ξ,
由题意知ξ的可能取值是0,2,3,4,
当变量是0时表示学生所坐的座位号与该生的编号都相同,
当变量是2时表示学生所坐的座位号与该生的编号有2个相同,
当变量是3时表示学生所坐的座位号与该生的编号有1个相同,
当变量是4时表示学生所坐的座位号与该生的编号有0个相同,
∴
∴ξ的概率分布列为:
∴
点评:培养运用从具体到抽象、从特殊到一般的观点分析问题的能力,充分体现数学的化归思想.启发诱导的同时,训练了学生观察和概括归纳的能力.
练习册系列答案
相关题目
签盒中有编号为1、2、3、4、5、6的6支签,从中任意取3支,设X为这3支签的号码之中最大的一个.则X的均值为( )
| A、5 | B、5.25 | C、5.8 | D、4.6 |